根据2023(托)第004号《PF277·连云港带号封》藏品托管公告,本公司组织相关机构对申请人所递交该托管公告之藏品在指定地点进行专业鉴定。此次因托管藏品数量较多,鉴定周期较长,考虑托管人能够及时得知鉴定结果,本公司将每周更新最新鉴定结果,直至藏品全部鉴定完成。单个藏品全部完成鉴定后,本公司会将该藏品入库数据移交至南京金网艺购电子商务有限公司。
托管会员可随时登录中藏仓储官方网站查看最新托管鉴定情况。登录网址:http://client.zccchu.com:13114/index.html
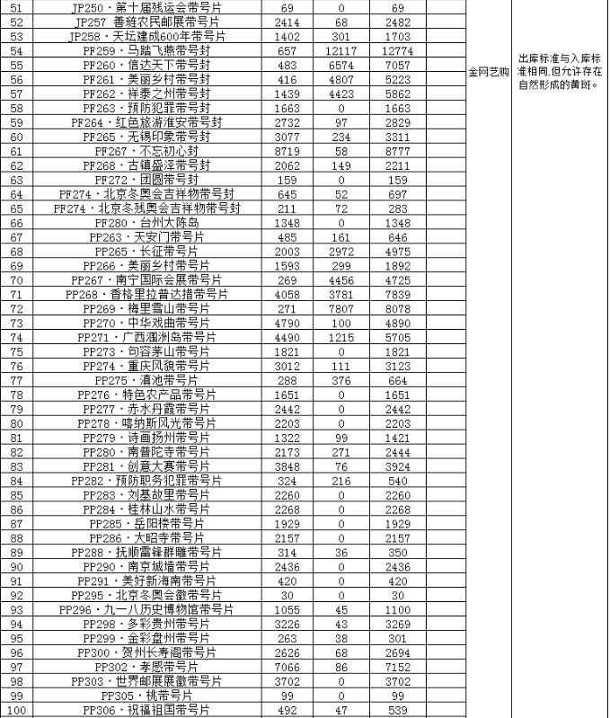
本次鉴定入库藏品清单 :



特此公告。 中藏仓储有限公司
2023年08月04日
0